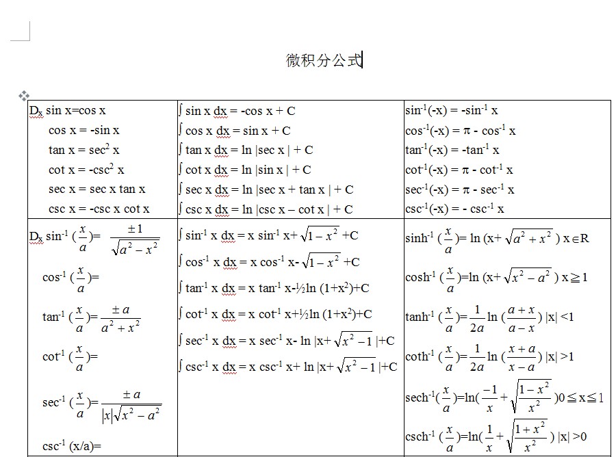
常用微积分公式大全是专为数学学习者们提供的公式整理资料,方便学生和老师们查阅相关计算公式,期末考试必备哦。
【基本介绍】
微积分是研究微分学和积分学的统称,英文名称是Calculus,意为计算。这是因为早期微积分主要用与天文、力学、几何学中的计算的问题。后来人们也将微积分称为分析学,或称无穷小分析,专指运用无穷小或无穷大等极限过程分析处理计算问题的学问。极限是整个微积分学的基础。微分学包括求导和微分的运算,是一套关于变化率的理论。它使得函数、速度、加速度和曲线斜率等均可用一套通用的符号进行讨论。积分学包括不定积分和定积分的概念和应用,为定义和计算面积、体积等提供一套通用的方法。



































