起点提供maple2018破解版下载,Maplesoft Maple 2018是一款专业强大的数学计算和模型分析工具。maple拥有强大的符号-数值混合计算引擎,采用可视化工作界面,支持超过170种图形类型和选项,可以创建交互式应用程序,同时内置的高级编程语言,带给用户强大的计算能力,具有计算精度高、适用性强、应用广泛等优点。

Maple 是一个强大的数学计算和模型分析工具,拥有世界领先的符号-数值混合计算引擎,具有计算精度高、适用性强、应用广泛等特点,其中符号-数值混合计算已成为工程设计的新趋势。通过友好的用户界面集成世界上最强大的数学引擎,让用户快速分析、探索、可视化以及解决数学问题。使用Maple,您不必在数学能力和可用性之间进行选择,这使其成为教育和研究的理想工具。
快速求解数学问题 ,包括一些你不能通过手工解决的问题(或者你不希望用手工解决的问题,因为时间很宝贵!)
能够求解几乎所有数学分支的问题 ,例如微积分、代数、线性代数、微分方程、统计、控制设计、物理、优化、群论、微分几何、信号处理、特殊函数、数论、金融建模、等等。
使用各种各样的可自定义的二维和三维图形、动画剖析你的问题、数据、概念。
在单个、浅显易懂的文件中组合问题、解决方案、可视化和探索, 不必再浪费时间重建你的思路过程。
使用内置的高级编程语言开发复杂的解决方案,程序代码简洁,容易编写、调试、维护。
创建交互式应用程序,可分享给同事、学生,使用者无需具有专业的编程知识 ,可通过网络分享这些应用程序。

·内置超过5000个符号和数值计算命令,覆盖几乎所有的数学领域,如微积分,线性代数,方程求解,积分和离散变换,概率论和数理统计,物理,图论,张量分析,微分和解析几何,金融数学,矩阵计算,线性规划,组合数学,矢量分析,抽象代数,泛函分析,数论,复分析和实分析,抽象代数,级数和积分变换,特殊函数,编码和密码理论,优化等。
·各种工程计算:优化,统计过程控制,灵敏度分析,动力系统设计,小波分析,信号处理,控制器设计,集总参数分析和建模,各种工程图形等。
·提供世界上最强大的符号计算和高性能数值计算引擎,包括世界上最强大的微分方程求解器(ODEs,PDEs,高指数DAEs)。
·智能自动算法选择。
·强大、灵活、容易使用的编程语言,让您能够开发更复杂的模型或算法。
·与多学科复杂系统建模和仿真平台MapleSim紧密集成。
2、技术文件环境
·大量易学易用的工具和特征,提供“数学版office”工作环境,用户即使没有任何语法知识也可以完成大量数学问题的计算,显著地缩短学习时间。
·术文件界面组合文字、数学、图形、声音、建模、科学计算等您所有的工作。
·大量的绘图和动画工具,包括超过150种图形类型。基于OpenGL的可视化技术,可定义相机轨迹。图片输出格式包括:BMP、DXF、EPS、GIF、等等。
·数据输入和输出格式:ASCII、CSV、MATLAB、Excel、等。
·各种文件处理工具,如页眉页脚、段落、幻灯片等;各种图元件,刻度盘、滑动条、按钮等,可在图元件中添加程序,实现交互式仿真操作。
3、知识捕捉
·Maple是您所有数学工作的理想环境,您所想象的数学就是您在Maple中做数学的方式。
·多种格式(1D、2D)输入数学内容,如教科书一样地显示和操作数学和文字。
·工作过程包括最初的草稿、计算、深度分析、演示报告、共享,以及重用。
·专业出版工具包括文件处理工具,可输出Maple文件为PDF、HTML、XML、Word、LaTeX、和MathML格式文件。
·特有的教育功能包,包含特定主题的计算方法信息和Step-by-Step求解步骤。
·使用MapleNET发布交互式内容到web上,将您的工作交互式呈现给您的同事、学生、和同行。
4、外部程序连接—无缝集成到您现有的工具链中
·OpenMaple API - 在外部程序中使用Maple作为计算引擎,或者通过External calling,在Maple中使用外部程序,如C/Java/Fortran。
·Maple - CAD系统双向连接:通过CAD Link为CAD系统增加重要的分析功能,如统计、优化、单位和公差计算等,结果在CAD模型中自动更新,目前支持SolidWorks,NX,和 Autodesk Inventor。
·xcel:Excel数据的输入和输出;通过加载项,在Excel内使用Maple计算命令。
·专业出版工具包括文件处理工具,可输出Maple文件为PDF、HTML、XML、Word、LaTeX、和MathML格式文件。
·数据库:对大型数据集完成分析和可视化。
·ATLAB连接:您可以使用MATLAB Link在Maple中调用MATLAB完成计算,以及利用MATLAB代码生成和转换的功能;另一个选择是Maple Toolbox for Matlab工具箱,Maple-Matlab双向连接,共享数据、变量等。
·Simulink:输入和输出Simulink模块,添加Maple的分析和优化功能到Simulink模块。
5、其他附加产品
MapleSim:高性能、多领域复杂系统建模和仿真
Global Optimization Toolbox:全局优化工具箱
MapleSim Simulink Connector:MapleSim-Simulink接口工具箱
MapleSim Control Design Toolbox:MapleSim控制设计工具箱
MapleSim Tire Component Library:MapleSim轮胎元件模型库
MapleSim LabVIEW Connector:MapleSim-LabVIEW接口工具箱
Maple Toolbox for MATLAB:Maple-MATLAB双向接口工具箱
Maple T.A.:在线考试和自动评估系统
2、支持常用的三角函数以及数学函数公式
3、支持高级的微积分表达式选择
4、支持六种单位设置功能,可以选择希腊字母
5、具有的公式很多,编辑高级数学非常有帮助
6、可以让您分析数学题目,让你在软件上解题
7、也支持制作复杂的函数题目
8、Maple2018破解版也是可以绘图的
9、也能建立2D数学模型图
10、提供的画图工具以及插入函数图形功能
11、也支持引用其他函数题目中的公式
12、Maple2018破解版也可以设计代码


2.点击选择“Iaccept the agreement”同意相关协议,随后点击“next”

3.选择安装位置,默认路径为“C:\Program Files\Maple 2018”,点击“文件夹图标”可更改目录,但是建议不要更改才好方便等下的破解操作

4.勾选Yes或No,以此来决定是否要创建桌面快捷方式,建议勾选“Yes”,并点击“Next”

5.选择第一项“Single User License”(单文件许可)

6.检查更新,可勾选包括:
(1)Enable periodic checking for maple 2016 updates after installation:启用定期检查安装后的maple2016更新
(2)check for updates now:现在检查更新
(3)use proxy server when checking for updates:在检查更新时使用代理服务器
默认勾选第1和第2,同样也建议直接默认并点击“Next”

7.等待安装完成即可


8.安装完成,去勾选现在激活Maple 2018(需要互联网连接)选项,点击finish退出安装向导


2.再将数据包中另一个破解文件“maple.dll”复制到软件的安装,目录中“C:\shandianxiazai\bin.X86_64_WINDOWS”在自动跳出的文件复制窗口,点击“复制和替换”即可


3.再回到桌面鼠标双击Maple 2018的快捷图标打开,你会发现软件已经授权了,这样你就可以免费使用了,破解完成

增强的代码编辑器,让编写、调试、维护Maple代码更加便捷。
单位计算深度集成到数学引擎中,大大简化了基于单位的计算。
加密工具,保护已有的文件或代码,限制查看和修改,这样用户就可以共享他们的工作,同时还可以控制他们的内容。
Maple的基本界面如下。
我们在下面箭头所指的地方贴代码,并得到运行结果,也可以创建新文档。


举个简单的例子,求f(x)=sin(x)的导数。
先定义函数:
f:=x->sin(x)

Diff(f(x),x);
这个命令的运行,并非求导,而是返回求导符号。

求导,可以使用diff(f(x),x);
也可以使用D(f,x);
比较一下二者的区别。

如果要输出一个完整的求导公式,就这样:
Diff(f(x),x)=diff(f(x),x);

还可以这样:
Diff(f(x),x)=D(f)(x);

如果要计算函数在x=2的导数:
D(f)(2);

pi在Maple里面表示π:
D(f)(pi/3);

如果我们在数字后面加上小数点,就得到数值形式:
D(f)(2.);
D(f)(pi/3.);

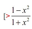
用Maple怎么输入方程
1.打开Maple软件,选择“New Document”,选择“数学”切换到数学模式。

2.选择面板中“表达式”,选择“a-b”模式,输入“1-”,将光标选中“b”,选择面板表达中的“ab”模板,在相应的位置输入“x”和“2”。

3.选中已经输入的表达式,按斜杠键“/”会发现光标自动跳转到分母上。

在分母位置上采用与步骤1相同的方法输入“1+x2”

用户也可以点击工具栏的执行按钮。在当前执行组插入一行新的可执行输入,但需要注意的是Maple输入提示符([>)后输入的内容,不管当前是文字模式还是数学模式,全部视为可执行语句。

还可以将上面的2-D数学表达式转换为1D数学表达式,用鼠标右键点击上面的表达式,从右键菜单中选择“2-D数学——转换为——1-DMath Input”。

鼠标右键点击上面的表达式从右键菜单中选择“2-D数学”—“转换为”—“1-DMath Imput”
改变表达式格式后的1-D形式:


【基本介绍】
Maple专注研发逾25年,它在一个高度直观的技术文件环境中整合了强大的计算能力、数学深广度、数学编程语言、应用开发工具和连接选项,在市场上独一无二。Maple 是一个强大的数学计算和模型分析工具,拥有世界领先的符号-数值混合计算引擎,具有计算精度高、适用性强、应用广泛等特点,其中符号-数值混合计算已成为工程设计的新趋势。通过友好的用户界面集成世界上最强大的数学引擎,让用户快速分析、探索、可视化以及解决数学问题。使用Maple,您不必在数学能力和可用性之间进行选择,这使其成为教育和研究的理想工具。
【软件特点】
求解数学问题非常容易和准确, 无需担心丢失数学符号或损失计算精度。快速求解数学问题 ,包括一些你不能通过手工解决的问题(或者你不希望用手工解决的问题,因为时间很宝贵!)
能够求解几乎所有数学分支的问题 ,例如微积分、代数、线性代数、微分方程、统计、控制设计、物理、优化、群论、微分几何、信号处理、特殊函数、数论、金融建模、等等。
使用各种各样的可自定义的二维和三维图形、动画剖析你的问题、数据、概念。
在单个、浅显易懂的文件中组合问题、解决方案、可视化和探索, 不必再浪费时间重建你的思路过程。
使用内置的高级编程语言开发复杂的解决方案,程序代码简洁,容易编写、调试、维护。
创建交互式应用程序,可分享给同事、学生,使用者无需具有专业的编程知识 ,可通过网络分享这些应用程序。

【软件功能】
1、强大的求解器·内置超过5000个符号和数值计算命令,覆盖几乎所有的数学领域,如微积分,线性代数,方程求解,积分和离散变换,概率论和数理统计,物理,图论,张量分析,微分和解析几何,金融数学,矩阵计算,线性规划,组合数学,矢量分析,抽象代数,泛函分析,数论,复分析和实分析,抽象代数,级数和积分变换,特殊函数,编码和密码理论,优化等。
·各种工程计算:优化,统计过程控制,灵敏度分析,动力系统设计,小波分析,信号处理,控制器设计,集总参数分析和建模,各种工程图形等。
·提供世界上最强大的符号计算和高性能数值计算引擎,包括世界上最强大的微分方程求解器(ODEs,PDEs,高指数DAEs)。
·智能自动算法选择。
·强大、灵活、容易使用的编程语言,让您能够开发更复杂的模型或算法。
·与多学科复杂系统建模和仿真平台MapleSim紧密集成。
2、技术文件环境
·大量易学易用的工具和特征,提供“数学版office”工作环境,用户即使没有任何语法知识也可以完成大量数学问题的计算,显著地缩短学习时间。
·术文件界面组合文字、数学、图形、声音、建模、科学计算等您所有的工作。
·大量的绘图和动画工具,包括超过150种图形类型。基于OpenGL的可视化技术,可定义相机轨迹。图片输出格式包括:BMP、DXF、EPS、GIF、等等。
·数据输入和输出格式:ASCII、CSV、MATLAB、Excel、等。
·各种文件处理工具,如页眉页脚、段落、幻灯片等;各种图元件,刻度盘、滑动条、按钮等,可在图元件中添加程序,实现交互式仿真操作。
3、知识捕捉
·Maple是您所有数学工作的理想环境,您所想象的数学就是您在Maple中做数学的方式。
·多种格式(1D、2D)输入数学内容,如教科书一样地显示和操作数学和文字。
·工作过程包括最初的草稿、计算、深度分析、演示报告、共享,以及重用。
·专业出版工具包括文件处理工具,可输出Maple文件为PDF、HTML、XML、Word、LaTeX、和MathML格式文件。
·特有的教育功能包,包含特定主题的计算方法信息和Step-by-Step求解步骤。
·使用MapleNET发布交互式内容到web上,将您的工作交互式呈现给您的同事、学生、和同行。
4、外部程序连接—无缝集成到您现有的工具链中
·OpenMaple API - 在外部程序中使用Maple作为计算引擎,或者通过External calling,在Maple中使用外部程序,如C/Java/Fortran。
·Maple - CAD系统双向连接:通过CAD Link为CAD系统增加重要的分析功能,如统计、优化、单位和公差计算等,结果在CAD模型中自动更新,目前支持SolidWorks,NX,和 Autodesk Inventor。
·xcel:Excel数据的输入和输出;通过加载项,在Excel内使用Maple计算命令。
·专业出版工具包括文件处理工具,可输出Maple文件为PDF、HTML、XML、Word、LaTeX、和MathML格式文件。
·数据库:对大型数据集完成分析和可视化。
·ATLAB连接:您可以使用MATLAB Link在Maple中调用MATLAB完成计算,以及利用MATLAB代码生成和转换的功能;另一个选择是Maple Toolbox for Matlab工具箱,Maple-Matlab双向连接,共享数据、变量等。
·Simulink:输入和输出Simulink模块,添加Maple的分析和优化功能到Simulink模块。
5、其他附加产品
MapleSim:高性能、多领域复杂系统建模和仿真
Global Optimization Toolbox:全局优化工具箱
MapleSim Simulink Connector:MapleSim-Simulink接口工具箱
MapleSim Control Design Toolbox:MapleSim控制设计工具箱
MapleSim Tire Component Library:MapleSim轮胎元件模型库
MapleSim LabVIEW Connector:MapleSim-LabVIEW接口工具箱
Maple Toolbox for MATLAB:Maple-MATLAB双向接口工具箱
Maple T.A.:在线考试和自动评估系统
【软件优势】
1、Maple2018破解版提供四种函数公式选择2、支持常用的三角函数以及数学函数公式
3、支持高级的微积分表达式选择
4、支持六种单位设置功能,可以选择希腊字母
5、具有的公式很多,编辑高级数学非常有帮助
6、可以让您分析数学题目,让你在软件上解题
7、也支持制作复杂的函数题目
8、Maple2018破解版也是可以绘图的
9、也能建立2D数学模型图
10、提供的画图工具以及插入函数图形功能
11、也支持引用其他函数题目中的公式
12、Maple2018破解版也可以设计代码
【安装教程】
1.下载好数据包后,直接解压用鼠标双击“Maple2018.0WindowsX64Installer.exe”打开进入安装向导,点击“next”进入下一步

2.点击选择“Iaccept the agreement”同意相关协议,随后点击“next”

3.选择安装位置,默认路径为“C:\Program Files\Maple 2018”,点击“文件夹图标”可更改目录,但是建议不要更改才好方便等下的破解操作

4.勾选Yes或No,以此来决定是否要创建桌面快捷方式,建议勾选“Yes”,并点击“Next”

5.选择第一项“Single User License”(单文件许可)

6.检查更新,可勾选包括:
(1)Enable periodic checking for maple 2016 updates after installation:启用定期检查安装后的maple2016更新
(2)check for updates now:现在检查更新
(3)use proxy server when checking for updates:在检查更新时使用代理服务器
默认勾选第1和第2,同样也建议直接默认并点击“Next”

7.等待安装完成即可


8.安装完成,去勾选现在激活Maple 2018(需要互联网连接)选项,点击finish退出安装向导

【破解教程】
1.安装好后,先不要打开软件,回到数据包中将破解文件“license.dat”复制到软件的安装,目录中“C:\shandianxiazai\license\license.dat”
2.再将数据包中另一个破解文件“maple.dll”复制到软件的安装,目录中“C:\shandianxiazai\bin.X86_64_WINDOWS”在自动跳出的文件复制窗口,点击“复制和替换”即可


3.再回到桌面鼠标双击Maple 2018的快捷图标打开,你会发现软件已经授权了,这样你就可以免费使用了,破解完成

【全新功能】
智能关联面板,它集成和强化了Maple软件中的可点击数学工具,提供点击式操作实现广泛的数学操作和使用Maple软件中的工具。增强的代码编辑器,让编写、调试、维护Maple代码更加便捷。
单位计算深度集成到数学引擎中,大大简化了基于单位的计算。
加密工具,保护已有的文件或代码,限制查看和修改,这样用户就可以共享他们的工作,同时还可以控制他们的内容。
【使用教程】
怎么用Maple求函数的导数?Maple的基本界面如下。
我们在下面箭头所指的地方贴代码,并得到运行结果,也可以创建新文档。


举个简单的例子,求f(x)=sin(x)的导数。
先定义函数:
f:=x->sin(x)

Diff(f(x),x);
这个命令的运行,并非求导,而是返回求导符号。

求导,可以使用diff(f(x),x);
也可以使用D(f,x);
比较一下二者的区别。

如果要输出一个完整的求导公式,就这样:
Diff(f(x),x)=diff(f(x),x);

还可以这样:
Diff(f(x),x)=D(f)(x);

如果要计算函数在x=2的导数:
D(f)(2);

pi在Maple里面表示π:
D(f)(pi/3);

如果我们在数字后面加上小数点,就得到数值形式:
D(f)(2.);
D(f)(pi/3.);

用Maple怎么输入方程
1.打开Maple软件,选择“New Document”,选择“数学”切换到数学模式。

2.选择面板中“表达式”,选择“a-b”模式,输入“1-”,将光标选中“b”,选择面板表达中的“ab”模板,在相应的位置输入“x”和“2”。

3.选中已经输入的表达式,按斜杠键“/”会发现光标自动跳转到分母上。

在分母位置上采用与步骤1相同的方法输入“1+x2”

用户也可以点击工具栏的执行按钮。在当前执行组插入一行新的可执行输入,但需要注意的是Maple输入提示符([>)后输入的内容,不管当前是文字模式还是数学模式,全部视为可执行语句。

还可以将上面的2-D数学表达式转换为1D数学表达式,用鼠标右键点击上面的表达式,从右键菜单中选择“2-D数学——转换为——1-DMath Input”。

鼠标右键点击上面的表达式从右键菜单中选择“2-D数学”—“转换为”—“1-DMath Imput”
改变表达式格式后的1-D形式:


